会员中心
首 页
中心概况
交易信息
政策法规
信息交流
交易程序
自律维权
会员名单
意见建议
三江拍卖
联系我们
中心简介
领导致辞
组织架构
当前位置:
首 页
> 交易信息
中心概况
中心简介
三江拍卖
领导致辞
组织架构
交易程序
联系我们
站内搜索
关键词:
交易信息
交易拍卖公告(三亚房屋)
佳木斯市郊区税务局抵税房屋专场拍...
桦川县税务局依物抵税房屋专场拍卖...
学校周边摊位经营使用权场交易、拍...
国家税务总局佳木斯市前进区税务局...
国家税务总局佳木斯市前进区税务局...
交易信息
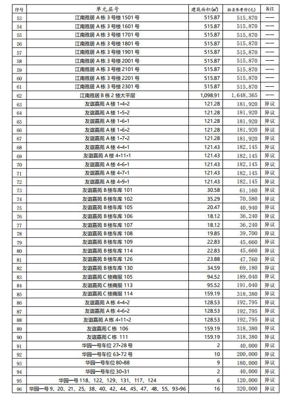
佳木斯市郊区税务局抵税房屋专场拍卖会
来源:
本站
发布时间:
2025/11/21
浏览次数:
218
下一篇:
桦川县税务局依物抵税房屋专场拍卖会(2025.11.14)
上一篇:
交易拍卖公告(三亚房屋)
政府网站
黑龙江省政府
金融网站
龙江银行
哈尔滨银行
黑龙江省农村信用社联合社
上海浦东发展银行哈尔滨支行
中国工商银行
交通银行
招商银行哈尔滨分行
地方合作企业
其它网站
首 页
|
法律声明
|
站点地图
|
联系我们
主办单位:佳木斯产权交易中心 版权所有:佳木斯产权交易中心